Founded in 2014 by three women who realized that there was a “food pantry desert” in our southeastern part of Loudoun County. The Dulles South Food Pantry was established and is supported by a network of multi-faith institutions and community organizations. We work to alleviate hunger in Loudoun County by collecting and distributing food through a pantry based in the Dulles community.
Donations to the Dulles South Food Pantry are tax-deductible, helping us continue our mission of serving the community and ensuring no neighbor goes hungry.


As a Partner Agency of the Blue Ridge Area Food Bank, we serve all Loudoun County residents living within the school boundaries of Freedom, John Champe, Independence, Rock Ridge, Briar Woods, and Lightridge High Schools. Eligible guests may visit the Pantry up to twice a month for assistance.
Meet Our Staff

Micki McMann
Executive Director

Robin Kinkead
Director of Operations

Karen Grant
Finance Manager

Jen Taylor
Director of Marketing and Communications

Amy Hutto
Operations Manager

Suzanne Lyles
Community Connections Program Manager

Juliye Wood
Distribution Manager

Andi Huppert
Operations Administrator

Jennifer Raab
Operations Assistant

Ruby Hunsaker
Distribution Assistant
2025-2026 Board of Directors

Meg Phillips
President

Kristen Reed
Vice President

Keith Reinke
Secretary

Richard Louis
Treasurer

Doris Girgis

Garrett Wolf

Neha Jadhav

Julia Safina

Julie Anna Barker
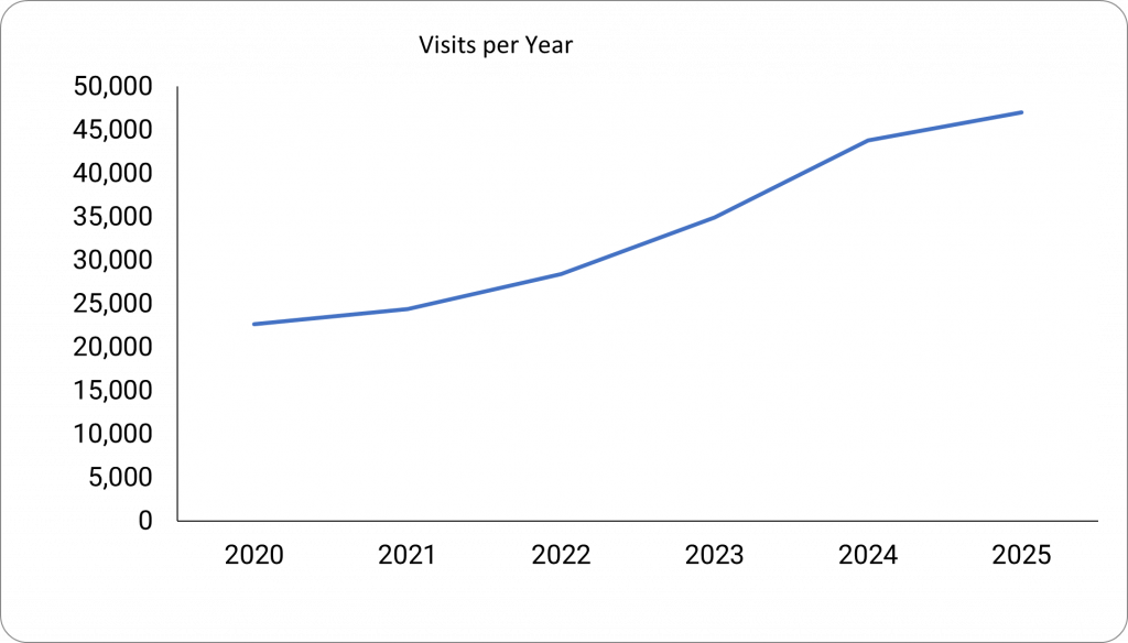
DSFP Service Growth since 2020

47,049 guest visits in 2025

824,726 lbs of food distributed to guests in 2025

10,293 Backpack Buddies bags distributed to our school partners in 2025
Farm Partnerships
- A Farm Less Ordinary
- JKCommunity Farm
- Piedmont Environmental Council
- Willowsford Farm
- Flying Pig Farmstead
- Froghaven Farm
- Heritage Springs Farm
- Willowford Farm





